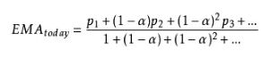
均線在超盤過程中有什么樣的缺陷?我們就以10日均線為例進行相關介紹。得到的數據就是最近10個交易日的平均值,也就是所每個交易日占得比重是一樣的,但是在實際走勢上,K線的主力動向、走勢情況都是在隨時隨地發生變化的,不可能是一層不變,因此越是靠近的交易日K線的價格對于判斷后市行情越是有效。
例如最近2個交易日的價格變動更能反映強狂,更是有助于判斷第11日的K線走勢,而8天前的K線指示往往不那么準確。因此,每個交易日比重都一樣,明顯是不利于整體判斷的。那究竟EXPMA就出現了,公式如下。從公式中,可以看出,越是靠近目前走勢的那天的交易日,權重越大,一定程度上能夠彌補了均線的缺點。

接下來我們就來了看山鼎設計的兩張走勢圖,該股的第一張圖指標為EMA,參數為10(兩周)、22(一個月)、45(兩個月),第二張圖指標為MA,參數為10、22、45。


可以看出,第一張圖的的指標更加貼合K線走勢,更能及時反應K線漲跌,第二張圖的指標鈍化比較嚴重,遇到K線劇烈波動時,反應較慢。從這個實戰圖形,我們可以看到該方法的技術要點總結如下:
1、 均線指標反映有一定遲緩性,EMA因提升近期走勢權重,可改善情況;
2、 當K線劇烈波動時,率先參考EMA走勢。
以上就是能彌補均線缺陷的EXPMA指標的介紹,相信大家對此已經掌握了,如若您想要學習更多相關知識點,敬請關注本欄目的更新,最后預祝大家投資愉快。
上一篇:一種簡單又有效的均線指標操
下一篇:900日均線在實戰中的運用解析
經營性網站備案信息
中國互聯網違法和不良信息舉報中心
本站帶寬由
河南網絡
網絡 110
服務中心:鄭州市金水區農業路經三路
郵編:450002 網址:www.qianglikj.com
銷售熱線:0371-65350319
技術支持:13333833889